|
Une question au sujet d'une pratique photo ou une question d'ordre plus technique (fonctionnement de l'autofocus, mesure d'exposition...), posez la ici.
-
domi
- Messages : 4277
- Photos : 78
- Inscription : 14 Nov 2007
- Localisation : seine maritime
#1
Message Sam 08 Avr 2023 06:31
Bonjour, On parle de l'angle de champ d'un objectif en degrés mais toujours sur le plan horizontal ..... Pour un format 3/2, par exemple pour on objo ayant 3° d'angle horizontal, l'angle vertical serait il de 2° ou toujours 3° ? Sans dessiner un quadrillage sur mon mur ni sortir ma table de trigo, connait-on une réponse toute faite ? Mon pb est que l'angle vertical peut tres bien rester à 3° mais ne pas m'n rendre compte par la coupure du champ liée au format ... Quelqu'un comprend ce que je veux dire ? Merci
2 * A99vII- 2* A99vI-16-35/2.8 - 24-70/2.8- 50/1.4-135/1.8-70-400v1 Sigma 35/1.4 hsm - 50/1.4 hsm - 85/1.4 hsm -70-200/2.8 hsm sigma et son *1.4 (>500000) sigma - 105 macro Sigma - 300/2.8 ex dg Sigma et ses *1.4 sigm et *2 sigm ( < 500000)
-
herissonalunettes
- Messages : 5207
- Photos : 658
- Inscription : 30 Avr 2009
- Localisation : Margeride est
-
donnés
/
reçus
#3
Message Sam 08 Avr 2023 08:11
Oui, je comprends ce que tu veux dire. Dans la majorité des cas, c'est le boîtier qui doit faire le format. Si tu pouvais fixer l'objectif avec une position a 90 degré, tu aurais la même image D'ailleurs ça se voit quand on met un apsc sur un ff, on a un cercle d'image, pas un ovale. C'est peut être pas vrai pour tout les objos ( uga, macro). Si tu veux savoir, tu peux te bricoler une boîte ou un bout de papier calque remplace le capteur, et voir la forme de la projection de l'image à travers ton objo.
"Il faudrait essayer d'ĂŞtre heureux, ne serait-ce que pour donner l'exemple" Prevert
-
domi
- Messages : 4277
- Photos : 78
- Inscription : 14 Nov 2007
- Localisation : seine maritime
#4
Message Sam 08 Avr 2023 08:19
@Renard62 : Merci, les 2 pages de débats sur CI demandent une "certaine concentration" pour tenter un début de compréhension @ Herisson : je ne comprends pas ce que tu veux dire ... Je vais me recoucher et voir si c'est plus clair après un autre bon réveil ... 
2 * A99vII- 2* A99vI-16-35/2.8 - 24-70/2.8- 50/1.4-135/1.8-70-400v1 Sigma 35/1.4 hsm - 50/1.4 hsm - 85/1.4 hsm -70-200/2.8 hsm sigma et son *1.4 (>500000) sigma - 105 macro Sigma - 300/2.8 ex dg Sigma et ses *1.4 sigm et *2 sigm ( < 500000)
-
herissonalunettes
- Messages : 5207
- Photos : 658
- Inscription : 30 Avr 2009
- Localisation : Margeride est
-
donnés
/
reçus
#5
Message Sam 08 Avr 2023 13:22
Ce que je veux dire c'est que si tu prends un vieux boîtier MF 6x6 , ton angle de champ utile vertical et horizontal est le même. Par contre si tu montes le même objectif sur un boîtier FF (24x32), ton angle de champ utile sera plus faible que sur FF car limité par le format du capteur, et du coup différent entre vertical et horizontal. D'ailleurs, on s'en rend compte quand on monte mal un pare soleil tulipe, si on mets les pointes longues en latéral plutôt que dessus dessous, on les voit car en latéral le champ est plus large
"Il faudrait essayer d'ĂŞtre heureux, ne serait-ce que pour donner l'exemple" Prevert
-
calimelolo
- Messages : 6339
- Photos : 1635
- Inscription : 13 Mars 2011
- Localisation : Entre Montpellier et Pic Saint Loup
-
donnés
/
reçus
-
Contact :
#6
Message Sam 08 Avr 2023 14:37
Un outil comme PhotoPills te donne ces angles en fonction de l'appareil et de la focale, par exemple avec mon A7R4 et un 500mm

- #372561: Consulté 2355 fois
Aimé
fois
- dont moi
Exifs
En vrai c'est juste une règle 3: avec un format 3/2 l'angle vertical est 2/3 de l'angle horizontal et l'angle diagonal est 3,61/3 l'angle horizontal, le 3,61 étant la longueur de l'hypothénuse d'un triangle rectangle de cotés 3 et 2.
Sony A7RIVA, 16-35GM, 24-70GMII, 70-200GMII, 35GM, 50GM, Samyang FE 85/1.4, Tamron 150-500/5-6.7 et plein de Godox… InstagramMon site
-
domi
- Messages : 4277
- Photos : 78
- Inscription : 14 Nov 2007
- Localisation : seine maritime
#7
Message Sam 08 Avr 2023 15:07
Super merci,
La regle de 3 est bien ce que j'imaginais.
PhotoPills est une applis Ă abonnement ou payer 1 fois ou gratos ?
2 * A99vII- 2* A99vI-16-35/2.8 - 24-70/2.8- 50/1.4-135/1.8-70-400v1 Sigma 35/1.4 hsm - 50/1.4 hsm - 85/1.4 hsm -70-200/2.8 hsm sigma et son *1.4 (>500000) sigma - 105 macro Sigma - 300/2.8 ex dg Sigma et ses *1.4 sigm et *2 sigm ( < 500000)
-
calimelolo
- Messages : 6339
- Photos : 1635
- Inscription : 13 Mars 2011
- Localisation : Entre Montpellier et Pic Saint Loup
-
donnés
/
reçus
-
Contact :
#8
Message Sam 08 Avr 2023 15:39
domi a écrit :PhotoPills est une applis à abonnement ou payer 1 fois ou gratos ?
Payer une fois et c'est bon.
Sony A7RIVA, 16-35GM, 24-70GMII, 70-200GMII, 35GM, 50GM, Samyang FE 85/1.4, Tamron 150-500/5-6.7 et plein de Godox… InstagramMon site
-
Cadfael
- Messages : 650
- Photos : 1
- Inscription : 23 Nov 2008
- Localisation : Saint-Claude (Haut Jura)
#9
Message Sam 08 Avr 2023 21:54
J'ai récupéré, il y a fort longtemps ces formules pour calculer l'angle d'un objectif. Je vous les livre ici; ce n'est pas compliqué si vous avez un minimum de formation en math (genre math élém). Sinon, oubliez :
L'angle (en diagonale) est angle = atan (½ d / f) où d = diagonale (du capteur) et f = focale (de l'objectif) ou si vous préférez en français : l'angle diagonal est égal à l'arc-tangente du rapport (demi-diagonale {du capteur} sur focale) Bien entendu, il s'agit d'un angle mesuré en radians, donc à convertir en degrés.
Pour l'angle horizontal, il faut remplacer la demi-diagonale par la demi-longueur du capteur. Pour l'angle vertical, prendre la demi-hauteur du capteur.
Pour rappel, si les dimensions du capteur sont en mm, il faut prendre la focale en mm aussi. Sur tableur, les calculs sont assez triviaux ; par contre la réelle incertitude c'est la véritable valeur de la focale (les constructeurs sont souvent optimistes) !
-
domi
- Messages : 4277
- Photos : 78
- Inscription : 14 Nov 2007
- Localisation : seine maritime
#10
Message Sam 08 Avr 2023 23:54
Merci
2 * A99vII- 2* A99vI-16-35/2.8 - 24-70/2.8- 50/1.4-135/1.8-70-400v1 Sigma 35/1.4 hsm - 50/1.4 hsm - 85/1.4 hsm -70-200/2.8 hsm sigma et son *1.4 (>500000) sigma - 105 macro Sigma - 300/2.8 ex dg Sigma et ses *1.4 sigm et *2 sigm ( < 500000)
-
calimelolo
- Messages : 6339
- Photos : 1635
- Inscription : 13 Mars 2011
- Localisation : Entre Montpellier et Pic Saint Loup
-
donnés
/
reçus
-
Contact :
#11
Message Dim 09 Avr 2023 08:28
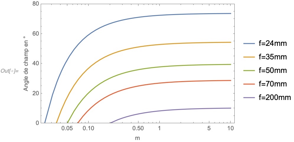
Histoire de voir si je n'étais pas rouillé après deux ans de retraite, j'ai traité le problème qui est au max du niveau Math Sup à mon sens puisque c'est là que l'on voit l'optique géométrique. Si ça vous intéresse, la démonstration est là :

- #372585: Consulté 2272 fois
Aimé
fois
- dont moi
Exifs
et un graphique d'exemple donnant l'angle de champ en fonction de la distance de MAP pour un capteur full-frame (c=36mm) est lĂ :

- #372586: Consulté 2272 fois
Aimé
fois
- dont moi
Exifs
Les limites de validité de tout cela sont celles de l'approximation des lentilles minces et de l'assimilation de nos objectifs complexes à une lentille mince (ce que l'on fait implicitement tout le temps en n'en donnant que la focale équivalente à l'infini). [noindex]
Sony A7RIVA, 16-35GM, 24-70GMII, 70-200GMII, 35GM, 50GM, Samyang FE 85/1.4, Tamron 150-500/5-6.7 et plein de Godox… InstagramMon site
-
dewoolf
- Messages : 2983
- Photos : 155
- Inscription : 06 Déc 2007
- Localisation : isère
-
reçus
#12
Message Jeu 07 Mars 2024 12:54
Merci calimelolo J'avais oublié tout ça (la rouille probablement  ) il est vrai que je n'ai pas continué dans l'optique. Ici un extrait de doc que j'avais fait pour le club photo. Tout ça (et surtout les petits angles) m'ont rappelé les développements en série limités et assimiler la tangente à l'angle ...  est-ce le bon émoticone ?
-

- #377887: Consulté 1071 fois
-
Aimé
fois
- dont moi
Exifs
tolstoi, tarkovski, dersou ouzala, l'arbre content de ce que j'ai: Minolta, Sony, Ricoh-Pentax, beaucoup en occasion
vds: réflex Minolta 9xi * Nikon 801s avec dos std + dos dateur très petit prix
Revenir vers « Questions pratiques ou techniques »
Qui est en ligne ?
Utilisateurs parcourant ce forum : Aucun utilisateur inscrit et 3 invités
|
|